- 全部
- 热门
- 最新评论
- 最新发帖
- 全部
- 个人号
- 机构号
-
资讯 明略科技亮相世界互联网大会亚太峰会 在港业务全面推进
发表于 04-17 23:10 85次浏览
评论赞 -
小李晨明
发表于 04-17 15:05 22次浏览
正常的技术性回调,均线多头排列没有被破坏
评论赞 -
长线投资战略故事
发表于 04-17 11:25 30次浏览
感觉快到阶段底了,在这个位置能建仓吗
评论赞 -
酷炫大脑
发表于 04-17 10:06 32次浏览
昨天明略涨十个点,收在226。看了下公司资料,做企业级AgenticAI的,不是那种纯概念的公司。腾讯还是它大股东,这背景可以啊。拿着看看,反正AI应用这个方向我是认可的
评论赞 -
迎龙体育
发表于 04-17 05:37 36次浏览
$明略科技-W(HK|02718)$搞蓝色光标,天龙集团,一点天下
评论赞 -
苗炜jk
发表于 04-16 15:05 34次浏览
这才哪到哪,AI行情刚热身好吧
评论赞 -
量化大师公
更新于 04-16 14:45 212次浏览
明略科技:大涨8%创阶段新高,Agentic AI龙头迎来估值重估
今日早盘,明略科技-W(02718.HK)放量拉升,盘中最高触及222.6港元,涨幅超8%,总市值一举突破320亿港元关口。 这波凌厉走势并非偶然。在昨日AI应用板块整体回调的背景下,明略科技逆势获资金抢筹,恰恰印证了市场共识正在发生微妙转变——当资金开始从纯概念炒作转向具备真实技术壁垒和商业化落地能力的标的,明略这种手握13个SOTA、率先实现千人员工级Agent协同的硬核玩家,必然迎来估值修复...
717 -
松鼠股市虾
更新于 04-16 10:51 35次浏览
今天这涨幅可以啊!AI应用端开始补涨了,拿住的别慌,没上车的等回调
1赞 -
重点资讯
更新于 04-15 23:31 191次浏览
世界互联网大会亚太峰会 | 明略科技吴明辉:上一代互联网正在失效,新一代AI互联网已来
4月13日,2026年世界互联网大会亚太峰会主论坛暨杰出贡献者盛典在香港举行。明略科技(2718.HK)创始人、CEO兼CTO吴明辉受邀出席,并在"致敬·数智弄潮儿——香江对话"圆桌论坛发表前沿观点。 本次峰会汇聚全球互联网与人工智能领域的顶级力量。中国国家互联网信息办公室副主任王京涛,世界互联网大会副理事长、世界知识产权组织前总干事弗朗西斯·高锐,香港特区政府财政司司长陈茂波,香港特区政府创新科...
412 -
资讯 明略科技创始人、CEO兼CTO吴明辉:千人千AI Agent协作已在公司内部落地
发表于 04-15 19:40 129次浏览
评论赞 -
资讯 世界互联网大会亚太峰会 | 明略科技(2718.HK)吴明辉:上一代互联网正在失效,新一代AI互联网已来
发表于 04-15 11:43 200次浏览
评论2 -
丁炳中的投资笔记
发表于 04-15 11:01 29次浏览
明略的Mano-P模型开源这事市场反应一般,但长期看是建立生态,懂的自然懂,拿住别慌 $明略科技-W(HK|02718)$
评论赞 -
冲天阳线顶上去
发表于 04-14 16:49 33次浏览
AI应用这轮炒作,明天改轮到明略了
评论赞 -
商界BUSINESS
发表于 04-14 16:47 32次浏览
没跌就是赢,各位稳住
![强壮 [强壮]](//gbfek.dfcfw.com/face/emot_default/emot59.png)
![强壮 [强壮]](//gbfek.dfcfw.com/face/emot_default/emot59.png)
$明略科技-W(HK|02718)$评论赞 -
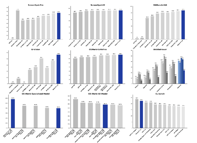
资讯 端侧 GUI 智能体模型全球第一:Mano-P 如何做到“又强又安全”
发表于 04-14 16:18 141次浏览
评论赞 -
小林说財经
更新于 04-14 15:15 184次浏览
明略科技吴明辉:企业级Agent的“精度陷阱”与人机协同重构之路
2025年12月19日,明略科技创始人吴明辉,在AICon全球人工智能开发与应用大会上,分享了《可信Agent的规模化之路》。2020年,他带着千人团队押注智能体,试图在企业微信生态里打造AI助理,结果因技术供给超前于市场需求,走过了一段曲折的探索期。四年后,他选择了一条更务实的路:放弃“全自动”幻想,瞄准GUI自动化,用72B模型在BUA、CUA榜单达到了SOTA水平。 在这场演讲中,他指出一个...
816 -
神鹰操盘手101
发表于 04-14 10:15 34次浏览
仔细看了下业务结构,DataIntelligence做到12.6亿稳健增长,AgenticServices第一年就贡献1个亿。按效果计费模式验证了,客户愿意为结果买单,这模式边际成本低、复制性强$明略科技-W(HK|02718)$
评论赞 -
资讯 Mano-P:全球第一的端侧GUI智能体模型,让AI在你的设备上替你操作电脑
发表于 04-13 17:57 149次浏览
评论赞 -
爱可可爱生活
发表于 04-13 15:08 34次浏览
最看好的是明略的落地能力。AdEff15分钟出报告,客户能马上用。从"给数据"到"给结果",明略在升级。智能体化服务收入已经1个亿,增速应该不慢$明略科技-W(HK|02718)$
评论赞 -
君论财经
更新于 04-13 15:04 147次浏览
国泰海通证券上调明略科技-W评级
2026年4月8日,国泰海通(601211)证券发布研报,上调明略科技-W(HK2718)评级,评级由“谨慎增持”调整为“增持”。本次评级报告研究员为杨林。 该研报摘要表示: 给予“增持”评级。我们预计公司2026-2028年营收分别为18.12/23.10(原16.56/18.14亿元)/30.50亿元,归母净利润-1.56/0.42(原0.37/1.11亿元)/3.88亿元。考虑到公司Agen...
1赞
![为什么 [为什么]](http://gbfek.dfcfw.com/face/emot_default/emot4.png)
![得意 [得意]](http://gbfek.dfcfw.com/face/emot_default/emot18.png)





![强壮 [强壮]](http://gbfek.dfcfw.com/face/emot_default/emot59.png)








